详细讲解测温电路,多用于空调、热水器、电磁炉,等控制板PCB上
温度检测,是很多加热设备,以及电子产品中用的比较多的功能模块。在电子产品当中,穿戴设备中,人体温度需要检测。空调设备中,温度调节控制需要检测。电磁炉,发热温度也需要检测。可以说,温度检测,在电子设计过程中,无处不在,今天我就给大家深入讲解一个测温电路。
测温电路
1、热敏电路端口,提供一个接口,可以接一个热敏电阻。通常来说,我们都会选择一个10K左右的热敏电阻。
热敏电阻:测温专用
2、10K的热敏电阻与接线端口的下方R19,5.1K的电阻,形成了一个分压电路。这时候,5V的电压就会被热敏电阻、R19 5.1K的电阻瓜分,而普通的电阻,它的电阻值是固定的,一般不会随着环境的改变,有太大的变化,所以两个电阻的中间位置,电压的变化,也就是热敏电阻变化造成的。
测温用,热敏电阻
热敏电阻:热敏电阻器是敏感元件的一类,按照温度系数不同分为正温度系数热敏电阻器(PTC)和负温度系数热敏电阻器(NTC)。热敏电阻器的典型特点是对温度敏感,不同的温度下表现出不同的电阻值。正温度系数热敏电阻器(PTC)在温度越高时电阻值越大,负温度系数热敏电阻器(NTC)在温度越高时电阻值越低,它们同属于半导体器件。
3、C17这个无极性电容,是作为滤波、旁路用的,使得分压之后的电压值,变得平稳。这样子被采集的电压值才会更加的准确。
无极性,贴片电容
4、U3,是一个运算放大器,LM358。这是一个工程师用的比较多的一个芯片,因为市场上用的比较多,所以价格也会相对比较低。我们用来作为一比一隔离输出,并没有使用他得放大功能。主要是作为隔离使用,这样子,可以将信号检测回路,与信号处理回路隔离开。
运算放大电路
避免信号处理电路,比如单片机,避免单片机IO口受到干扰,或者尖峰电压,导致IO口被击穿损坏。这样,信号被单片机的AD采集电路进行处理,由一个电信号变成了一个数字信号(技术男带你学电子,给你讲真正有用的技术!)
NTC测温电路的精度和分辨率的深入数学分析
我之前设计过一个产品,采用NTC以及PIC单片机做环境检测。
NTC测温电路如图
NTC测温电路
温度检测回路采用分压电路,由于热敏电阻TR1常温时(25℃)阻值为10K,所以R44取10K的精密电阻。
负温度系数电阻的性能参数在来料检验时针对关键参数做了详细的测试,如下表:
样品检验数据
可采用查表的方式进行温度检测。
热敏电阻TR1的阻值计算公式为:
热敏电阻阻值计算公式
TR1的阻值与温度关系曲线如下图:
热敏电阻的阻值与温度关系曲线图
当温度为-45+273=228K时,
温度为-45度时的阻值
当温度85+273=358K时,
温度为85度时的阻值
由于A/D VAD电压为,
TR1两端电压表达式
由于MCU自带的A/D为10bit,所以A/D值为:
A/D转换值
A/D值曲线如下:
A/D转值与温度的关系曲线
由上图可知,在高温及低温区,此电路的分辨率将降低。
分辨率计算公式
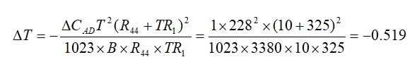
当温度为-45℃时,ΔCAD=1对应的ΔT为:
温度为-45度时的分辨率
当温度为-45℃时,电路分辨率为:
温度为-45度时的分辨率
当温度为85℃时,ΔCAD=1对应的ΔT为:
温度为85度时的分辨率
当温度为85℃时,电路分辨率为:
温度为85度时的分辨率
当温度为25℃时,ΔCAD=1对应的ΔT为:
温度为25度时的分辨率
当温度为25℃时,电路分辨率为:
温度为25度时的分辨率
α越低,分辨率越高。
当温度在高温区时,用此电路测试温度是T,那么实际温度应该是T±0.326℃
当温度在低温区时,用此电路测试温度是T,那么实际温度应该是T±0.519℃
当温度在常温区时,用此电路测试温度是T,那么实际温度应该是T±0.051℃
考虑温度、初始及老化公差, R44精度选为2%,R0精度选为2%。
测温精度计算
当温度为-45℃时,
-45度时的精度
综合考虑电路分辨率及A/D值公差,在低温区时,测得温度如果为T,那么实际温度应该是T±1.15℃。
当温度为85℃时,
85度时的精度
综合考虑电路分辨率及A/D值公差,在高温区时,测得温度如果为T,那么实际温度应该是T±0.794℃。
当温度为25℃,
25度时的精度
综合考虑电路分辨率及A/D值公差,在常温区时,测得温度如果为T,那么实际温度应该是T±0.527℃。
相关问答
麻烦诸位资深人士!哪位了解! 单片机测温电路 ?,校车人脸测温...[回答]我将以更好的状态、更认真的态度、更饱满的精力,去创造,去拼搏,去努力,和广州市鸿慧电子科技有限公司一起成长!不太理解你的新意是什么意思,不用18...
诸位盆友有谁清楚: 单片机测温电路 ?,校车人脸测温机好不好都...[回答]按照国标或者地方资料软件表格要求,当施工大体积混凝土或冬季施工时必须进行测温。温度控制指标及测温频率:温度监控指标如下:内外温差:小于25℃...
数显温度控制仪的原理和结构?概论:随着数字技术和微电脑技术的不断发展,数显表、以单片机为核心的新型显示与记录仪表越来越广泛地应用到工业自动化和工控领域中。数显表与指针表一样,...
单片机测温电路 ?,校车人脸测温机怎么选?[回答]虽然,回答有点废话的意思,但是只能往滤波线路方面想办法了,看看是不是可以通过在单片机受干扰的控制信号上增加滤波元件,或者增加屏蔽罩来解决问题...
单片机测温电路 ?,校车人脸测温机该怎么选,都来说说?[回答]方案:采用热电偶作为感测温度的核心元件,配合桥式电路,运算放大电路和AD转换电路,将温度变化信号送入单片机处理。此方案原理和方案一的原理大同小...
谁知道温控器原理是什么,科普一下?_齐家装修问答电子式的通过热电偶、铂电阻等温度传感装置,把温度信号变换成电信号,通过单片机、PLC等电路控制继电器使得加热(或制冷)设备工作(或停止)。还有水银...
单片机 如何通过ADC模块采集模拟信号?朋友们好,我是电子及工控技术,我来回答这个问题。众所周知单片机是一种超大规模的集成电路,它只能“读懂”并处理数字信号,对于连续量的模拟信号则无能为力。...
求个教我做温控传感器怎么做,51 单片机 的?单片机用于温度开控制是一个很方便的手段。首先设计温度控制的精度。因为精度决定所需A/D器的变换精度。如果要求温度控制精度是1度。8位A/D模数变换器就可以...
跪求回答!! 单片机测温电路 ?,校车人脸测温机费用高不高?[回答]采用二点测温。入口匀速段距入口7米的位置,设一路测温仪,检测钢坯的温度,用以判断温度分布,并选择适合的中频电压,入口匀速段距入口1米的位置,设一...
海天注塑机温度不稳定,温度全部乱跳,感温线,加热圈,温控仪, 单片机 芯片,都测试过了正常。求指点?可以试试把高温的那两段的设定温度继续调低看看会不会把冲上去的温度给降下来,如果依然降不下来的话估计是电脑板出问题了,以前我也遇到过温控仪是好的可是温...
