基于计算机视觉的数字刀具测量系统研究
数控机床的加工精度和生产效率与所用刀具有着直接影响。为了提高数控机床的加工效能,在使用前应该知道刀具的精确尺寸数据。目前,国内生产和使用的刀具测量系统多是光学投影式测量仪,它是将刀具轮廓放大成像在投影屏上,通过人眼瞄准测量刀具的几何参数,容易带来主观误差,测量精度低,不能适应现代化数控加工的要求。
本文研究了基于计算机视觉检测技术的数字图像刀具测量系统,采用CCD数码相机摄取刀具图像并转换为数字信号进行传输,通过自主开发的图像处理软件对刀具图像进行分析、测量和计算,实时显示刀具参数值并存储到刀具数据库以便实时管理,具有较高的精度、效率和自动化水平,提高了数控机床的有效工作时间,保证了数控机床的加工效能。
1 系统测量原理
从宏观上看,刀具与工件接触的切削部分是一个尖锐的点,称为切削点;从微观上看,切削点是具有一定曲率的圆弧,在进行机械加工时,针对不同外形的切削工件,两者的接触点总是变化的。如图1所示,端面加工时,接触点是A;圆柱面加工时,接触点是B;球面加工时,接触点由A沿圆弧到B。因此必须对接触点A、B的精确坐标和圆弧AB段的半径值进行测量,以便实现刀具预调和实时补偿[1]。
在刀具测量系统中,光源垂直向上照射刀具,然后在导轨水平面内移动CCD相机镜头进行对刀,通过调焦的方法确定刀具位置并拍摄刀具图像,经图像采集卡将图像的数字信号传输到计算机中,利用图像处理软件测得刀具在图像坐标系中的参数,再根据相机标的定参数进行计算,将图像坐标系转换到仪器坐标系中,从而得到刀具精确的实际尺寸,最后将刀具数据显示到屏幕上或存储到数控机床刀具数据库中以便日后管理和随时调用,这就是系统测量原理。
2 刀具测量系统的结构和功能模块
数字图像刀具测量系统整体的结构设计如图2所示。该系统由CCD数码相机、图像采集卡、计算机及其外设等硬件设备和数字图像处理软件共同组成[2]。
2.1 机械移动定位系统
刀具测量系统属于精密测量仪器,因此,导轨要具有较高的导向精度、较好的运动平稳性、良好的耐磨性和对温度波动的惰性等。此次结构设计采用滚动导轨,减小了滑块与导轨间的摩擦系数,提高了瞄准精度。
为了确定视觉系统的具体位置,在X、Z两个方向的导轨上分别附有光栅尺。移动视觉系统进行对刀时,光栅尺产生响应信号,该信号经过滤波,辨向与细分等处理后通过USB接口传入计算机。
2.2 视觉系统
视觉系统主要由光源和成像系统组成。LED光源是一种冷光源,具有可见光强度高、无热量、无阴影、可无极调节等优点,仪器和刀具不会产生热变形而影响测量精度,且能耗低、体积小、寿命长,因此选取波长为0.68 μm的红色LED作为照明光源[3]。
欲获得较好的成像质量和较高的精度要求,成像系统中常采用柯拉照明方式。柯拉照明法采用多组透镜,可以克服光源照明的不均匀性,获得稳定、均匀的视场强度,提高测量精度。如图3所示,光源经聚光镜1成像于聚光镜2的物方焦面,再成像于无限远处,与成像物镜的入瞳重合。
2.3 软件系统
系统测量软件是在Windows平台下,利用Visual C++6.0语言编制,为操作人员提供实用的操作窗口。如图4所示,系统软件界面分为4部分:区域1显示原图像,区域2显示处理后的标注图,区域3显示快捷命令按钮,区域4显示精确的几何参数。
依据操作过程,软件主要完成以下功能:
(1)系统标定功能:软件启动后自动进入缺省状态,CCD相机标定参数。
(2)图像显示与采集功能:将CCD摄取的图像传输到工控机中,并显示到显示器上,以便观察刀具是否成像在CCD像面上。
(3)图像预处理功能:对传输到工控机中的刀具图像进行去噪、滤波、灰度化和分割。
(4)图像边缘检测功能:运用亚像素算法对刀具图像进行边缘检测并跟踪。
(5)边缘特征点识别:搜索刀具图像的特殊点,识别圆弧段和直线段。
(6)刀具数据处理:将刀具数据实时显示到显示屏上,实时监控测量过程以便及时发现问题;或将数据存储到数据库中,以便能及时获取相关参数调整加工轨迹;或通过使用前、后的数据计算刀具的磨损情况。
2.4 硬件接口电路
硬件接口电路主要包括MTC12C5A60S2单片机、硬件控制RS-232接口等。
MTC12C5A60S2单片机是高速、低功耗、超强抗干扰的新一代8051单片机,内部集成MAX810专用复位电路,2路PWM,8路高速10位A/D转换(250 K/S)。该单片机单元模块齐全,精度高,性价比高,适合用于高精度数据采集,能够满足系统要求[4]。
RS-232接口是一种串行总线接口,其串行通信接口如图5所示。由MAX232E执行电平的转换。MTC12C5A60S2单片机串行数据接收端RXD与MAX232E的输出端R2out相连接,串行数据发送端TXD与输入端T2in相连接。
3 系统关键技术研究
3.1 系统标定技术研究
系统标定选用的标准量块AB长为R,已知:标准量块在CCD上的成像为ab,长为r,可直接测量指导;标准量块AB与透镜的距离为D,已知;CCD与透镜的距离为d,已知。系统标定原理图如图6所示[5]。
量块的成像ab的长度以像素为单位,由几何三角形相似定理可计算出标定参数C:
求出的系统标定参数C作为已知数值。当测量出被测刀具在图像坐标系中的参数(设为e)后,可计算得到刀具的实际尺寸E:
E=C*e
3.2 系统调焦技术研究
图像测量系统调焦一般采用调焦评价函数,给出图像的调焦评价值,当其达到最值时调焦效果最好。较好的调教评价函数应具有以下特性:(1)无偏性;(2)单峰性;(3)较高的信噪比;(4)较小的计算量[6]。系统采用基于像素数评价函数。在图像处理中,对整幅图像的有效像素进行统计,可评价系统调焦性能。其表现形式为:
当像素灰度值在域值时,n(x,y)值取1,否则其值取0。图7为实验函数曲线,可以看出,该函数具有处理速度快、单调性好、峰值明显的优点,适合本系统的应用。
3.3 亚像素边缘检测算法研究
Sobel算子既能确定边缘点的位置和方向,还能根据像素点上下、左右邻点的灰度加权差,对噪声进行平滑,能提供较好的图像边缘信息,因此在边缘主体区域粗定位时选用Sobel算子。过粗定位所得边缘点,沿边缘法线方向拓展像素,得到一系列过边缘线的像素点,求得这些点的灰度值,然后根据这些点的灰度分布的数学特征,利用五次正交多项式最小二乘法拟合原理求得拟合函数,再根据拟合曲线确定图像边缘亚像素点的位置,从而实现边缘的亚像素精确定位,这就是改进的亚像素边缘检测算法。
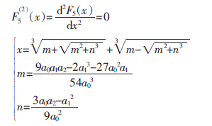
本课题选取5个像素点,横坐标x代表像素值,其取值分别设为-2、-1、0、1、2,其纵坐标y代表各点对应的灰度值,依据施密特正交化法与正交多项式最小二乘法拟合原理求得拟合方程表达式F5(x):
依据最值极值求解条件,将函数F5(x)对x求二阶微分并令其等于零,求得x的数值即是亚像素点的位置。
4 实验数据及分析
刀具测量系统的精度主要取决于系统调焦精度与亚像素边缘检测算法的精度。
(1)调焦精度研究
在刀具测量系统中,对选取的同一刀具依据调焦、离焦、调焦的过程进行多次测量,提取刀具测量数据如表1所示。
根据误差评定原则,系统调焦重复性精度约为
。
(2)亚像素边缘检测算法精度研究
保持被测刀具的位置不变,有系统对其进行多次测量,并提取边缘点的亚像素坐标,如表2所示。
以单个像素点坐标理论值与检测值的坐标差作为算法偏差,经计算得其标准偏差约为0.1 pixels。
5 结论
数字刀具测量系统以视觉检测技术为基础,以图像处理为主要手段,测量精度达到3 μm,运行效率快,自动化程度高,操作简便,提高了机床的效能,有效减少了操作人员的工作量。
参考文献
[1] 韩永杰,佟永祥.多功能车刀几何角度测量仪的研制[J].中国现代教育装备,2011(1):47-50.
[2] 吕黎黎.基于液晶显示模块与单片机的数字化角度测量装置[J].现代制造技术与与装备,2010(6):15-17.
[3] 刘力双.电子摄像式刀具预调测量仪的研究[D].天津:天津大学,2006.
[4] 张学峰,陈瑾,翟从鸿,等.基于51单片机和PDIUSB12的USB接口设计[J].微型机与应用,2015,34(6):16-18,22.
[5] 李金泉,吴林,陈善本.一种基于ZOM正交矩亚像素边缘检测算法及在机器人视觉标定中的应用[C].Proceedings of World Congress on, Intelligent Control and Automation(WCICA), V2, 2002(6):1210-1214.
[6] 肖义,鲁五一,吴志虎.基于数字图像处理的提升机钢丝绳无损检测[J].微型机与应用,2015,34(9):43-45,50.
灾害现场场景参数实时测量系统
摘 要 : 为了保障在灾害现场实施抢险救援作业的消防员的个人安全,设计了基于Android平台通信终端的灾害现场信息采集、传输系统,主要包括单兵可穿戴式终端、数据服务器和移动指挥平台,实现将灾害现场消防员生命体征信息和现场温度、毒气浓度等信息实时、不间断地传输给后方指挥中心和一线指挥员,为指挥员第一时间组织施救提供重要依据,提高了指挥自动化水平。
0 引言
当消防员采用内攻战术时,常常需要进入火灾现场、危化品处置现场以及危险的狭小空间等区域,由于身着各种防护服,行动笨重缓慢,仅靠感官无法及时有效地发现各种潜在的危险。另外常规的无线通信方式仅靠前后方对话获取有效信息,需要消防员边作业边利用对讲机汇报各种信息,后方指挥员获取信息的手段单一,效率低下,一旦中断则彻底失去联系,后方指挥员无法及时有效地获取内攻消防员的个人信息和场景信息,特别是在消防员被困或者迷路的情况下,无法第一时间展开施救,因施救不及时而造成消防员牺牲惨剧时有发生。
随着可穿戴技术的发展,可穿戴设备采集消防员的生命体征信息、灾害现场温度和毒气浓度等各种参数并传输到后方,提高系统的集成度和便携性,保障消防员人身安全,是消防员个人防护设备的重要发展方向。
1 系统设计
由于3G公网覆盖范围非常广泛,在建筑物内部、地下空间、隧道等场所都能实现信号的覆盖,而且带宽大,利用3G公网实现信息传输不仅能够满足现场信息测量传输的需求,而且为单兵图像传输开辟传输通道,有利于集成单兵头盔式摄像头,采集现场图像信息。根据灾害现场救援的需求,结合实际情况,设计系统框图如图1所示。
单兵终端包括可佩戴式感知终端和通信终端, 可佩戴式感知终端有脉搏感知终端、温度测量终端、毒气(CO,H2S)浓度测量终端,通信终端蓝牙无线互联感知终端,接收各种现场参数信息,并把所测数据通过3G传输到现场后方。支队数据服务器工作于消防指挥调度内网,通过网关和防火墙与3G公网互联,用于缓存现场单兵的各种场景参数, 也可在指挥中心大屏幕上显示参战消防员的各种信息,用于远程指挥。显示与指挥平台包括车载式移动指挥平台和手持式移动指挥平台,集中显示每个单兵终端采集到的场景参数信息。人机交互为现场指挥员提供决策,并与支队数据服务器互联互通。
2 脉搏感知模块设计
系统采用NeuroSky的BMD101生物信号检测和处理设备,传感器部分主要由LED光源和光敏器件组成,LED光源发出绿色波长的光波,光敏器件可以接收手腕皮肤反射光感测光场强度的变化。后端处理电路包括低噪音一级放大电路、二级放大电路、调零电路器和16位精度的ADC模数转换,增益可控,内置DSP处理模块, 能够通过蓝牙传输的方式将生命体征信息传输到通信终端,开机即自动搜索并建立传输链路。通信终端再经过3G网络将该生理指标传输到后方指挥平台,一旦出现异常,后方指挥员据此可及时展开营救。
CC2540内置51单片机内核,能够实现对数据的初步处理。 第一步:以1000个数据信息为一个处理周期,对这1000个值取平均值,滤波,并降低数据的更新次数,因为系统对数据的更新频率要求不高,0.5~1次/秒即可;第二步:据信息进行判断,如果信号不属于正确佩戴脉搏传感器范围,则抛弃这段数据不处理,反之推送到蓝牙模块的缓冲区传输到通信终端。通信终端设置报警门限40次/min,一旦低于该值,则报警。数据处理流程如图3所示。
3 毒气浓度感知模块设计
灾害现场特别是火灾现场保温板、塑料等化学物质的燃烧会产生多种有毒气体,其中H2S和CO最常见,危害也大。因此本系统测量现场毒气主要是指H2S和CO两种气体,选用电化学H2S和CO气体传感器,即通过化学反应来检测电解液载流子的变化对外部电流的影响,传感器输出为电流信号,线形好,体积小,可干电池供电。
以MSP430单片机为控制核心设计了毒气浓度的测量装置,主要包括传感器、放大电路、滤波器和处理核心MSP430F2249以及蓝牙传输模块CC2540,MSP430F2249是MSP430系列单片机之一,内置16位AD转换模块和两个定时器,主要完成数据的AD采样、单片机内部的初始化和传输模块CC2540寄存器的设置以及发射、接收数据的读写操作[4],测量原理如图4所示。
第一级放大电路采用AD620放大器,传感器测得的电流信号转化为电压信号后放大10~1 000倍,根据实际情况调整合适的放大倍数后经过电容C6实现直流分量和交流分量的分离。交流分支进入二级放大机构进行再次放大,而直流分量直接进入MSP430F2249的AD采样模块AD0, 用于测量环境中毒气浓度的平均值,模拟信号通过经过OP07放大滤波后进入单片机AD转换器的AD1,用于测量环境中毒气浓度的波动值,最后实测值为两者之间的叠加。最后将叠加值传输到蓝牙模块,再经过改模块输出的通信终端。H2S和CO两种气体传感器的检测处理电路完全一致,如图5所示。
4 软件设计
软件主要包括通信终端和移动指挥平台的设计,通信终端依托消防员配备的防爆手机(Android平台),主要完成现场各种参数的接收,打包后以3G通信的方式发送到后方指挥中心,后方指挥中心缓存后再以3G无线通信的形式发送到前沿指挥员的移动指挥平台, 移动指挥平台采用防爆处理并加固后的平板电脑,7~8寸, Android系统,主要完成对各种参数的显示,判断并初步告警,辅助指挥员采取相关措施。两者都在Android应用的专业开发环境Eclipse基础上使用java语言进行界面和数据传输、处理的开发,程序流程图如图6所示。
通信终端和移动终端的定时器为1 000 ms,即数据以1次/秒的频率进行更新,再加上传输链路上不确定的传输延迟,这样的速度也能够保证后方指挥员能够及时获取内攻消防员的生命体征和现场情况,且有利于降低链路的通信负荷。由于现场背景非常嘈杂,一旦超过阈值,通信终端以震动的方式通知消防员, 而移动终端则发出特定声音或以特定频率闪烁来提醒指挥员。
无论是通信终端还是移动终端,数据的操作(包括发送和接收)都是非常耗时的过程,为了保证用户体验,在编程的过程中必须开辟单独的接收和发送数据线程,接收数据线程的部分代码为:
public void run
{ Log.i(TAG, "BEGIN mConnectedThread");
byte buffer = new byte[1024];
int bytes;
while (true) //监听InputStream连接
{try{
bytes=mmInStream.read(buffer);//读取输入流
mHandler.obtainMessage(BluetoothChat.MESSAGE_
READ,bytes,-1,buffer).sendToTarget;}
//发送获得的字节的用户界面
catch (IOException e)
{Log.e(TAG, "disconnected", e); break;}}}
发送数据线程的部分代码为:
public void write(byte[] buffer)
{try {
mmOutStream.write(buffer); //写入输出流
mHandler.obtainMessage(BluetoothChat.MESSAGE_
WRITE, -1, -1,buffer).sendToTarget;}
//更新用户界面
catch (IOException e)
{Log.e(TAG, "Exception during write", e); }}
其中mmInStream和mmOutStream是Android Socket通信模型中InputStream和OutputStream的实例化对象,它们通过调用Socket模型中read和write方法,实现数据的读写。
5 结论
系统中毒气浓度测量器固定在消防员佩戴的正压式呼吸器的末端,裸露外表并防爆处理,附带测量环境温度,脉搏测量采用腕表式设计,系统开机后自动扫描并建立传输链路,消防员本身除了打开系统外,无需其它操作。整个系统能够将现场各种场景参数实时传输到后方指挥中心和前沿指挥员,辅助指挥决策,提高指挥自动化水平。未来可使通信终端开启WIFI模式,为头盔式摄像设备开辟无线传输通道,能够将现场视频信息及时传输到指挥中心或者指挥车,信息将更加丰富,集成度也会更高。
参考文献
[1] 董钟骏,李俊兰,万泽君,等.一种井场H2S检测系统的设计[J].传感器与微系统,2012,31(10):119-124.
[2] 赵文丽.便携式生命体征动态监测仪设计[J].电子设计工程,2015,23(2):130-133.
[3] 朱宇,齐乐.基于智能手机的Holter系统[J].电子设计工程,2015,23(2):57-59.
[4] 邹辉林.脉搏信号远程自动监控器系统原型研究[D].广州:华南理工大学,2011.
[5] 邓玉娇,魏超.矿用一氧化碳传感器的设计[J].软件,2011,32(2):88-92.
[6] 赵大力,刘天庆,徐洁,等.用一氧化碳报警器实现火灾预报及救援指导[J].传感器世界,2012(07):101-104.
[7] 苑宇坤,谭秋林,杨明亮,等.危化品运输跟踪监测系统上位机的设计与实现[J].计算机测量与控制,2015,2(4):99-102.
相关问答
自动停车收费系统显示汇编源程序怎么写?[回答]特别是大型超市的临时停车场管理收费更加困难。1现有停车场收费管理系统目前的停车场收费管理系统通常采用以下两种计费方式:(1)摄像计...
医学摄影和医学影像技术有什么不同?一、针对性不同:1、影像技术学是针对操作技术学习。2、影像学是包括诊断和技术方面,影像学范围更广。二、基本定义不同:1、医学影像技术主要分对比剂、传...
为什么没有安卓版或ios版的全画幅相机?这个事情要用历史的观点来看,我来分析一下:1.负责控制相机各个控制单元的操作系统,是随着数码相机的产生而发展的,早期的数码相机,更像是一部专业设备(实...直...
老表们,我想了解!本地的电力在线监控系统机构有哪些,有了...[回答]爱弗闭路电视监控系统以功能要求的不同可分为以下几个方面:•前端摄像系统•视频传输系统•视频控制系统•视频显示和记录系统摄像部分是电视监控系...
远程网络教育怎么报名呢?大家好,我是谭老师!不知道同学们有没有报上继续教育学历(高起专/专升本),据我了解,很多同学选择专业和学校时只凭第一感觉,觉得专业或学校听着好听,抑或...主干...
oppor7005价钱-ZOL问答电信FDD-LTE主屏:5英寸1280x720像素摄像:800万像素有用(0)回复YN46345...怎么在单片机AT89S52中烧录程序3346浏览8回答ZOL问答手机...
你们谁清楚!!专业生产智能控制驱动板大概多少费用,智能控...[回答]1、摄像头插上了,怎样才能看到使一个视频摄像驱动程序有效的具体方法是:打开“控制面板→多媒体→视频→目前市面上流行的中星微摄像头驱动版本专...
好基友们有没有 专业数字媒体技术应用学什么专业好,数字媒...[回答]专业核心课程:单片机系统应用、电力电子技术、电力系统继电保护、PLC编程及应用、变电所运行与维护、自动控制系统应用技术、工业网络应用技术、Mat...
西南政法大学有哪些二本文科专业?主要课程:电路分析、模拟电路、数字电路、高级程序设计C、微机原理与接口技术、自动控制原理、电力电子技术、电机拖动、可编程逻辑器件原理及应用、单片机原...
iphone6plusnfc功能怎么使用- 汇财吧专业问答[回答]中行信用卡怎么样绑定applepay?中行信用卡绑定applepay支付流程2月18日最新消息,今日凌晨5点苹果公司携ApplePay正式登陆中国,其中包含中国银行、建...
