「PLC编程必备」二、十六进制数如何能转换成十进制数?
二、十六进制数转换成十进制数前面已经有初步的讲解,其值为各个位码乘以位权然后完全相加。
一般地说,一个N进制数如果有n位(从0,1,…..n-1位),则其十进制公式为:
我们这里就以二,十六进制为例说明:
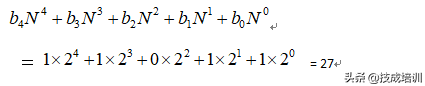
例一:试把二进制数B11011转换成等值的十进制数。N=2,n=5,
从中可以看出,
为0 的位,其值也位0 ,可以不用加,这样把一个二进制数转换为十进制数只要把位码为1的权值相加即可。
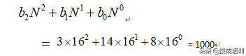
例二:试把十六进制数H3E8转换成十进制数。N=16,n=3.
其计数过程和二进制完全一样。
上篇精彩内容回顾:
PLC编程必备:讲解二、八、十、十六进制数【6月2号】
十进制转十六进制及进制对照表
进制对照表
将整数部分除以16,余数为该位权上的数,商继续除以16,以此类推,直到商为零,从最后一个余数向前排列就可以了。
例如:
十进制126转换为十六进制
126/16=7.875
16*7=112
126-112=14 得到余数,对照进制表,十进制14对应十六进制E
再用
7/16=0.4375
商为0,得到余数为7
所以十进制126转换为十六进制后为7E
相关问答
怎么将 单片机 接收到的 十六进制 数转为 十进制 ?你说的数字带小数点的,叫浮点数。小数点的数据用十六进制表示用4个字节。如果小数部分都是0,则可以用整数表示。例如:用长整型表示。longdat;//用于...你说...
单片机 中如何将 十六进制转 换成 十进制 (看说明)?你自己处理的数据还要在意它是什么进制的吗?按我的理解,系数不是用来转换电压值的进制的,而是用来进行电平值比较的吧。比如8位AD5v采样,读寄存器后值是...
十六进制转化 十进制 _作业帮[最佳回答]十六进制数传十进制数转法是十六进制每位上的数值乘以16的(位次减1)次方之和,举例如下:20H=2*16^(2-1)+0*16^(1-1)=2*16^1=2...
十六进制 数如何转换成 十进制 ?要蛮清楚的!_作业帮[最佳回答]4个2进制位为一个16进制数,2进制1111为16进制F,2进制中千位的1=8,百位的1=4,十位的1=2,个位的1=1,将各个位的数作相应转换再相加,的到的数就是10进...
十六进制 化为 十进制 应该怎么算?将十六进制数转换为十进制数可以按照以下步骤进行:1.将十六进制数按照每两位一组进行拆分,得到若干个两位数。2.将每个两位数转换为十进制数,方法是将该两...
如何把 十进制转 成 十六进制 ?一种是采用除16求余法,还有就是先把十进制转二进制再转十六进制。分别举个例子:1.除16求余115转十六进制115/16商是7余数是3.用7再除16,商是0,余数是7故结...
如何把16 进制 数转化为10 进制 ,c语言编写?言代码:inta...需要准备的材料分别有:电脑、C语言编译器。1、首先,打开C语言编译器,新建一个初始.cpp文件,例如:test.cpp。2、在test.cpp文件中,输入C语...
十六进制转十进制 的方法?16进制就是逢16进1,但我们只有0~9这十个数字,所以我们用A,B,C,D,E,F这六个字母来分别表示10,11,12,13,14,15。字母不区分大小写。十六进制数的第0位...16进...
怎么样用C语言编写一个程序将输入的 十进制 数转化成16 进制 ?-Z...printf("转化为十六进制的数为:");for(;i>=0;i--)//倒序输出{printf("%c",HEX[a[i]]);//<-...
十六进制 怎么转换成 十进制 - 你栗哥哥 的回答 - 懂得比如16进制的数是12,换成10进制就是(1*16+2=18)。又比如16进制的数是2a,换乘10进制就是(2*16+10=42)。用位加权乘,积相加法比较简单。如8FFC035B转...
