寄生电容与寄生电感的测量方法
电容器与电感器都不是理想器件。一个电容器会有一定量的串联电感(称为寄生电感)。寄生电感由电容器中的导体(特别是引线)产生。老式电容器,如20世纪60年代以前就开始使用的蜡纸介质电容器件中,串联电感很大。由于电感是与电容串联的,所以构成了一个串联谐振电路。
电容,电容器的简称,是电子设备中大量使用的电子元件之一,广泛应用于隔直、耦合、旁路、滤波、调谐回路、能量转换、控制电路等方面。
电容的寄生电感和寄生电阻主要是指它的引线和极板形成的电感和电阻,尤其是容量较大的电容更为明显。如果你解剖过电容器,会看到它的极板是用长达1米的金属薄膜卷曲而成的,其层状就像一个几十、甚至上百圈的线圈,这样,两条极板之间产生电容效应的同时,也产生了电感效应和电阻效应。因为,这种电感和电阻并不是制造电容的本意,而只是难以避免的附加效应,所以叫做寄生电容和寄生电阻。一旦电容被制作好,其寄生电容和寄生电阻的大小也就确定了。
测量寄生电容与寄生电感
图1为一个测量串联谐振频率的方案。跟踪发生器是一种特殊的扫描信号发生器,用来与频谱分析仪的扫频频率同步。它们经常与频谱分析仪一起使用来实现信号源响应法。
图1 测量电容器中的串联电感
串联谐振电路在谐振频率表现出低阻抗,而在其他频率表现出高阻抗。在图1中,电容接在信号线末端。频谱分析仪将在电容与串联电感发生谐振的频率处显示一个明显的尖锐凹陷。
串联电感的表达式为
电感器也不是理想器件。邻近的绕线构成了许多小电容,而这些小电容相加起来可能形成相当大的电容值。图2为一种测量电感器的并联电容的方法。
由于电容是与电感是并联的,它们组成了一个并联谐振电路。该并联谐振电路的阻抗在谐振频率时很高,而在其他频率时很低。图2中电感器及并联电容是与信号线串联的,所以在谐振频率处会产生一个明显的凹陷。并联电容值表达式为
图2 测量电感器中的并联电容
电容电感测量原理
1.利用电容器放电测电容实验原理
电容器充电后,所带电量Q与两极板间电压U和电容C之间满足Q=CU的关系。U可由直流电压表测出,Q可由电容器放电测量。使电容器通过高电阻放电,放电电流随电容器两极板间的电压下降而减少,通过测出不同时刻的放电电流值,直至I=0,作出放电电流I随时间变化的曲线,曲线下的面积即等于电容器所带电量。由C=Q/U可求出电容器的电容值。
2.利用放电时间比率来测电容
其测量原理是把被测电容和基准电容连接到同一电阻上,构成RC网络。通过测量两个电容放电时间的比率,就可以求出被测电容的电容值。测量范围从pF(10-12F)到几十个nF(10-9F),并且在寄生电容的抑制和温度稳定性方面具有极很大的优势。
3.利用单片机测脉冲来测时间常数RC再计算电容
其测量原理是把被测电容和电阻串联,构成RC网络,然后可利用这个时间常数去弄个振荡器,调好振荡信号的波形然后开始计数脉冲值,可能的周期为T=A0&TImes;RC,A0为一个常数,可通过周期可以计算出C的值。这个可以用单片机来测,理论上可以从测的值可以为N多个,大大超过前面所讲述的。
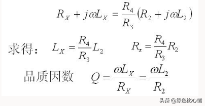
4.较为经典的,可以测电容或者电感的
利用交流电桥的平衡原理,可以得到
RX为电容的漏电阻,CX为电容量 ,那个像6样子的东东称为电容器的损耗角,而tan6常用来表示电容器的损耗
5,电感的测量
还是电桥
此时有
单片机需要数电模电基础吗?单片机要多少模电数电知识?
模拟电路不知道终结了多少个初学者的电子工程师梦。
我是电气自学转的电子,在学习模拟电路的时候差点放弃。
实在太难了,从三极管开始就是各种数学公式和计算。
后面工作了很多年才发现,其实这些基本都用不上,现在电路集成化程度很高,基本都有专门的芯片解决方案,不用自己重头设计。
他们也会提供原理图和PCB layout的建议,直接按照原厂的干就行了,如果有问题还提供技术指导。
现在就是卷到这种程度,模电做射频用得比较多,其他基本数电比较多,可能是我接触的行业问题。
我不建议新手去死磕模电,因为不可能通过一本书,或者一个教程就把它吃透。
因为你前面没经历过实际项目,本身理解能力就非常有限,只是在你的认知范围内。
在这种情况下去理解的话是很浪费时间的,即便磕出来,或许等你真正能用上的时候就忘记了。
我更倾向于,等你有非常多实际产品设计经验的时候,再回去看,会理解的更加透彻。
而且,技术的东西,千万不要去死记硬背,东西太多你根本记不住。
我在1年前写的代码,乍一看,突然就看不懂了,不过有了基础铺垫,要看懂也很快。
现在我们无际单片机编程的学员我都没让他们去学模电,而是先学基础电路。
基础电路主要分为以下两步走:
1.学习基本的元器件
电阻、电容、电感、二极管、三极管、MOS管、按键、LED灯、LCD、蜂鸣器之类的。
主要要知道这些器件是什么,都有什么作用。
2.学习基本外围电路
比如说三极管开关电路、LED驱动电路、按键检测电路、蜂鸣器驱动电路、存储电路、LCD驱动电路、单片机外围电路。
这些就是比较实用的,如果你是一个细心的人,大多数其实都是数字电路。
这些你也可以通过市面上那些51开发板去学习,比你去学模电实用多了。
有了这些基础以后,后面都通过实际项目去学习,不断积累。
等你积累到一定数量的时候,这些都是你职业生涯的武器库,后面研发新产品就是复制粘贴,这样你的效率才高。
最后给各位初学者一些建议,前期一定要先做好个人职业定位,不要定位电子工程师这种,范围太广,涉及的知识体系太庞大。
你可以再把范围缩小,比如说硬件工程师、单片机工程师、Linux驱动工程师、FPGA工程师。
然后根据这些职位的要求去针对性学习,这样才能让你以最快的速度入行。
相对来说不太建议走硬件工程师,因为一般工资都比软件低一点,可以先做软件,再补硬件,最后走全栈路线。
我是从事了单片机开发10年,这个比上不足比下有余,后面没有继续进阶到Linx驱动这块。
因为感觉没什么必要,第一是进阶了工资最多也就涨那几K,对于一个中年人来说意义不大。
做单片机开发等你有一定经验了,基本一个人能独立做一款产品,这样创业成本也更低些。
如果你也想走这条路,可以参考我下面的学习路径。
相关问答
单片机 晶振电路原理电容大小没有固定值.一般二三十p.晶振是给单片机提供工作信号脉冲的.这个脉冲就是单片机的工作速度.比如12M晶振.单片机工作速度就是每秒12M.和电...
电容和 电感 容量大小怎样来计算它的充放电时间-ZOL问答L、C元件称为“惯性元件”,即电感中的电流、电容器两端的电压,都有一定的“电惯...如单片机应用系统中,应用超级电容作为后备电源,在掉电后需要用超级电容维持10...
24V接近开关怎么和5V的 单片机 连接呀接近开关有N和P型,如N型一般是集电极开路型输出,单片机IO接5V上拉电阻...可靠的方法做线圈驱动实验测量驱动电流。需要用电流表。价格来源网络,仅供参...
新手应该如何学习51 单片机 及其他电子硬件?提问者:请问新手应该如何学习51单片机及其他电子硬件?学习单片机要多练习,多实践。开发板要实现的功能,上手就能写出来。只是会(编程)操作开发板了。还要...提...
单片机 开关元器件名称?半导体电容:CAPSEMI可调电容:CAPVAR3.电感:INDUCTOR4.二极管:DIODE.LIB发光二极管:LED5.三极管:NPN16.结型场效应管:JFET.lib7.MO...
lg洗衣机水位传感器怎么测量好坏?判断洗衣机水位传感器好坏方法:1、检查前首先确认洗衣机盛水桶里没有残留水、导气管有无扭结或堵塞的现象。2、电磁式水位传感器(水位传感器):若水位传感器...
怎样检测25伏6800微法电容的好坏?对于容量较大的电解电容,如果需要判断其好坏,用一般的常规测量判断方法,可能会有困难。原因在于它6800微法的容量确实有点太大。耐压25V也挺高,这里的高,指...
为何狂按 单片机 按键 单片机 会死机-ZOL问答就是说用光耦后,单片机的电路信号与光耦另一边的信号可以完全隔离。好处:继电器在开关过程产生的高压不会影响单片机,一般用在控制高压的电路或者继电器电感比...
单片机 怎样防护串激电机电磁干扰?要防护串激电机电磁干扰,可以采用以下措施:首先,使用低噪声电源滤波器以减少输入电源中的噪声和杂波,同时采用磁屏蔽技术对电机进行屏蔽。其次,可以采用电...
电子信息工程动手能力指哪些方面?2,器件识别和选型能力:掌握电阻,电容,电感,晶体管,数码管,74系列,AD/DA,运放,存储器,单片机,可编程逻辑器件等器件的识别方法和常见用法,掌握...3,电路分析...
