热敏电阻解析--测温
顾名思义,热敏电阻就是对温度敏感的电阻,它的电阻值会随着温度的变化而变化,具体怎么变,下面我们慢慢说!
由于我们 DIY 的这个电子时钟最后是准备送给需要的有缘人的,所以我们采用的测温传感器就是用热敏电阻,本设计中指示测量室温,没有太高的精度要求,热敏电阻足以满足要求。
1 、热敏电阻原理
热敏电阻是敏感元件的一类,热敏电阻的电阻值会随着温度的变化而改变,与一般的固定电阻不同,属于可变电阻的一类,广泛应用于各种电子元器件中。按照温度系数不同分为正温度系数热敏电阻器(PTC)和负温度系数热敏电阻器(NTC)。热敏电阻器的典型特点是对温度敏感,不同的温度下表现出不同的电阻值。正温度系数热敏电阻器(PTC)在温度越高时电阻值越大,负温度系数热敏电阻器(NTC)在温度越高时电阻值越低,它们同属于半导体器件。热敏电阻通常在有限的温度范围内实现较高的精度,通常是-90℃〜130℃。
2 、热敏电阻的运用
1)测温。热敏电阻传感器一般结构较简单,价格较低廉。没有外面保护层的热敏电阻只能应用在干燥的地方;密封的热敏电阻不怕湿气的侵蚀、可以使用在较恶劣的环境下。我们将要设计的电子时钟里的测温元件就要是用热敏电阻。用热敏电阻测温,测量电路一般采用桥式线路,我们设计这个电子时钟上带的测温主要是检测环境温度作个指示作用,不要求精度。所以我们采用简单的电阻分压电路的方式来测量,电路如下图:
分压式测温电路
2)温度补偿。热敏电阻传感器可在一定的温度范围内对某些元器件湿度进行补偿,在一些特定的高要求电路中,某个元件会因通电时间延长够发热,从而电阻值增大,这样,可以在该元件回路中加入负温度系数的热敏电阻(NTC)来抵消增大的电阻值。从而抵消因温度变化所产生的误差。在晶体管电路、对数放大器中,也常用热敏电阻组成补偿电路。补偿由于温度引起的漂移误差。
3)过热保护。 对小电流场合,可把热敏电阻传感器直接串入负载中,防止过热损坏以保护器件,对大电流场合,可用于对继电器、晶体管电路等的保护。不论哪种情况,热敏电阻都与被保护器件紧密结合在一起,从而使两者之间充分进行热交换,一旦过热,热敏电阻则起保护作用。
4 )热敏电阻还可以做恒温、液面检测等。在热水器,汽车油温,冷却水等电路中都长用到此元件。
热敏电阻温度曲线
如上图所示,我们以NTC热敏电阻为例。NTC热敏电阻的阻值(RT)与热力学温度(T)的典型关系曲线并非线性,其实是指数关系变化的。可见随着温度的升高,RT迅速减小。由于用作温度传感器时,通常需要较好的线性度。但热敏电阻的阻值与温度之间呈指数关系变化,在较大温度范围内,阻值与温度的关系具有比较严重的非线性。此时,进行非线性校正会取得较好的效果。
在实际运用中我们采用的而不是上面所介绍的非线性校正法。各个型号的热敏电阻,厂家都会有一份Rt的分度表。我们在用热敏电阻做测温用的时候,一般是是采用查表的方式去得到温度值。具体做法是在编程时把热敏电阻对应的Rt分度值表转换为ADC的分度值表存入单片机ROM中,在测温时我们就采用查表的方式得到对应的温度值。分度值表如下:
( 欢迎关注我们微信公众号: 单片机技术宅 ,干货多多等着你,每天更新电子设计资料。还可加个人微信:dianzi126,QQ:2463515595或加我们的QQ群:300384358,大家一起讨论
高精度NTC测温的硬件电路以及软件设计
什么是NTC
NTC是热敏电阻,其电阻值对温度变化敏感,在不同的温度下,可以呈现不同的电阻值。
热敏电阻有两类,一类是负温度系数电阻(NTC),温度增加时,电阻值降低,另一类是正温度系数电阻(PTC),温度增加时,电阻值增加。
热敏电阻的电阻值计算
NTC的电阻值R与温度的关系可以近似表示为:
公式1,电阻与温度函数关系式
其中T是绝对温度,数值为摄氏温度+273.15,单位为K(开尔文)。
R0一般取温度25℃即298.15K时的电阻值,对应的T0取25℃,即298.15K。
B为材料常数.不同的村料或者生产工艺都能导致B的数值发生变化,甚至在热敏电阻的工作范围内,B的数值都可能发生变化,而不是严格的常数;
因为NTC的电阻与温度呈非线性的关系,而且存着温度的增加,温度随着温度变化的变化率越小。
所以随着温度的增加,NTC测温的精度变化;
所以比较适合于温度变化范围小的使用场景,比如环境温度(约为-20℃-50℃)或者是水温的检测(0℃-100℃)。
下图是在淘宝上搜索到的一款NTC,按照温度为25℃的电阻取值,可有5KΩ,10 KΩ等不同的规格,而材料系数B值固定为3950。
从淘宝搜索到的一款NTC
我们选择10K的规格,根据公式1,可以得到这款NTC的电阻与温度的关系为:
公式2,电阻与温度的函数关系式
通过excel表格的公式,在excel工作薄的第一列输入温度,第二列输入公式可以得到不同温度下的电阻值,比如0℃为33.6 KΩ
采用excel计算AD值
NTC测温电路的设计
NTC测温核心在于具有ADC功能的MCU,电路比较简单,只需要将固定的电压经过另一个高精度的电阻分压接到NTC电阻,然后将分压值连接到MCU的ADC输入口。
如下图:
NTC测温电路
R1为1%精度的电阻,R2为NTC,
0.1uF的电容C1除了可以滤除从电源引入或者从电路板感应来的高频干扰信号,另外当ADC有多路AD输入在转换时,MCU的AD模块需要通过模拟开关切换不同的通道,再进行采样转换,电容C1可以在ADC切换通道之后,迅速向采样电容充电,从而可以提到转换速度,避免因采样时间太短而导致测量不准确。
R1上拉的电源应该和MCU的ADC的参考电源共用一个电源(在一般的设计中,MCU的供电电源和ADC的参考电源共用一个电源)。
这是因为:
输入ADC的AD值为(假设为12位的ADC):
AD值计算公式
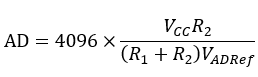
如果上拉的电源ADC的参考电源共用一个电源,可以得到和上位电源无关的一个公式:
AD值计算公式
所以可以消除电源精度对测试的影响,同时减少了计算的复杂性;
NTC测温软件的设计
我看到在一个网友的程序设计中,他直接将公式1取对数,通过复杂的对数运算和倒数运算得到温度值,这是不合适的,
主要是:
普通的单片机不一定提供这样的数学函数库。普通的单片机没有浮点数运算,浮点数都是转成整弄运算的,不可避免会有舍入误差。单片机做对数,倒数的运算,只能是近似算法,而且会耗费大量的运算时间,可能会到几百ms级,影响了对其它功能处理的实时性。公式1只是一个近似公式,B值也并不是一个常数,用这样具体的解析公式计算,没有办法根据实际测量值对计算值进行标定,从而提高测量精度。我在实际的项目中,采用的是分段线性化的方法,步骤如下:
采用excel表格自动生成C语言中包含AD与温度的二维数组
将测温范围分若干个区间,比如在0-100度的范围内,分100个区间,每个区间范围为1℃计算或者实测每一个区间下限和区间上限的温度值; 比如区间30℃-31℃,根据公式1计算或者实际测试出30℃以及31℃的AD值。将这些区间表示为2维数组(这个2维数组也可以通过实际测试形成);取出将AD转换并多次平均之后数值,编历分段的区间,与这些区间的AD上、下限进行比较,判断落在哪一个区间,根据一次函数的公式进行区间内的插值修正:测试温度值=区间温度下限+(区间温度上限-区间温度下限)/(区间AD上限-区间AD下限)*(AD测量值-区间AD下限)
最后奉上本人使用的分段线性化的程序:
分段线性化程序
相关问答
单片机热敏电阻 怎么检测他的温度的?如果是最老式的电饭锅(某宝上50元以内就能买一个),就那个开关通过杠杆连着一个磁体,你按下去的时候会吸住,开始加热,然后这种磁体在105度的时候磁性会突然...
用 热敏电阻 怎么设计温度计啊?帮帮忙,谢谢若提供热敏电阻,微...[最佳回答]热敏电阻的阻值和温度的关系是有一个参数表的(买热敏电阻的时候,是有说明书的,或者可以到网上查),只要通过你手中的仪器,利用初中或者高中学过的知...
激光 单片机热敏电阻 温度高怎么办?对于激光单片机热敏电阻温度高的问题,需要具体情况具体分析,以下是一些建议和解决方法:检查热敏电阻的安装和连接:确保热敏电阻正确安装在设备中,与单片机连...
提出一种用 热敏电阻 制作控温装置的方案_作业帮[最佳回答]方案一:热敏电阻和一个电阻串联接到5V上,利用单片机采集热敏电阻分压的电压值,只计算当前温度值,和标准值比较,输出逻辑电平.方案二:去网上搜索一...
单片机 温度测控系统主要元件?单片机温度测控系统的主要元件包括:单片机:作为主控系统,负责数据采集、处理和控制输出。温度传感器:用于采集温度数据,并将其转换为电信号。常见的温度传感...
单片机电阻 元器件名称?在单片机电路设计中,常用的电阻元器件名称包括以下几种:固定电阻:固定电阻是一种不可调节的电阻器件,其电阻值为固定值,通常用于电路中对元件电流的限制、...
数字温度计为什么采用 单片机 作为设计的核心?也可以用数字温度传感器来采集温度数据,数字温度传感器精度更高,它内置了采集、计算温度数据的芯片,可以直接输出温度数据,单片机通过I2C/SPI等接口可以直接...
基于 单片机 的太阳能热水器水位温度显示仪的课程设计热敏电阻用ad测个电压,再转换成温度。我建议液位是浮球式,有5个,那和浮球信号由,就亮哪个灯天天天晴90801天前扩展回答1太阳能热水器水温水位仪的使用方法...
在加热设备上的温度通过数字显示,是什么原理?温度传感器与显示屏是怎样实现的?温度显示表一般为单片控制,单片机再把数字信号相应的转换为温度显示值。PLC在其中只起到开关作用。也就是当温度值低于设定温度温度表打开信号给PLC,PLC控制辅...
proteus 热敏电阻 元件名称?proteus常用元器件的名称,电阻是resistors和单片机Microprocessorproteus常用元器件的名称,电阻是resistors和单片机Microprocessor
