既要代码小,又想速度快!单片机程序该如何优化?
对程序进行优化,通常是指优化程序代码或程序执行速度。优化代码和优化速度实际上是一个予盾的统一。一般是优化了代码的尺寸,就会带来执行时间的增加;如果优化了程序的执行速度,通常会带来代码增加的副作用。很难鱼与熊掌兼得,只能在设计时掌握一个平衡点。
1.1 程序的书写结构
虽然书写格式并不会影响生成的代码质量,但是在实际编写程序时还是应该尊循一定的书写规则,一个书写清晰、明了的程序,有利于以后的维护。在书写程序时,特别是对于While、for、do…while、if…else、switch…case 等语句或这些语句嵌套组合时,应采用“缩格”的书写形式。
1.2 标识符
程序中使用的用户标识符除要遵循标识符的命名规则以外,一般不要用代数符号(如a、b、x1、y1)作为变量名,应选取具有相关含义的英文单词(或缩写)或汉语拼音作为标识符,以增加程序的可读性,如:count、number1、red、work 等。
1.3 程序结构
C 语言是一种高级程序设计语言,提供了十分完备的规范化流程控制结构。因此在采用C 语言设计单片机应用系统程序时,首先要注意尽可能采用结构化的程序设计方法,这样可使整个应用系统程序结构清晰,便于调试和维护。
对于一个较大的应用程序,通常将整个程序按功能分成若干个模块,不同模块完成不同的功能。各个模块可以分别编写,甚至还可以由不同的程序员编写,一般单个模块完成的功能较为简单,设计和调试也相对容易一些。在C 语言中,一个函数就可以认为是一个模块。
所谓程序模块化,不仅是要将整个程序划分成若干个功能模块,更重要的是,还应该注意保持各个模块之间变量的相对独立性,即保持模块的独立性,尽量少使用全局变量等。对于一些常用的功能模块,还可以封装为一个应用程序库,以便需要时可以直接调用。但是在使用模块化时,如果将模块分成太细太小,又会导致程序的执行效率变低(进入和退出一个函数时保护和恢复寄存器占用了一些时间)。
1.4 定义常数
在程序化设计过程中,对于经常使用的一些常数,如果将它直接写到程序中去,一旦常数的数值发生变化,就必须逐个找出程序中所有的常数,并逐一进行修改,这样必然会降低程序的可维护性。因此,应尽量当采用预处理命令方式来定义常数,而且还可以避免输入错误。
1.5 减少判断语句
能够使用条件编译(ifdef)的地方就使用条件编译而不使用if 语句,有利于减少编译生成的代码的长度。
1.6 表达式
对于一个表达式中各种运算执行的优先顺序不太明确或容易混淆的地方,应当采用圆括号明确指定它们的优先顺序。一个表达式通常不能写得太复杂,如果表达式太复杂,时间久了以后,自己也不容易看得懂,不利于以后的维护。
1.7 函数
对于程序中的函数,在使用之前,应对函数的类型进行说明,对函数类型的说明必须保证它与原来定义的函数类型一致,对于没有参数和没有返回值类型的函数应加上“void”说明。如果果需要缩短代码的长度,可以将程序中一些公共的程序段定义为函数。如果需要缩短程序的执行时间,在程序调试结束后,将部分函数用宏定义来代替。注意,应该在程序调试结束后再定义宏,因为大多数编译系统在宏展开之后才会报错,这样会增加排错的难度。
1.8 尽量少用全局变量,多用局部变量
因为全局变量是放在数据存储器中,定义一个全局变量,MCU 就少一个可以利用的数据存储器空间,如果定义了太多的全局变量,会导致编译器无足够的内存可以分配;而局部变量大多定位于MCU 内部的寄存器中,在绝大多数MCU 中,使用寄存器操作速度比数据存储器快,指令也更多更灵活,有利于生成质量更高的代码,而且局部变量所的占用的寄存器和数据存储器在不同的模块中可以重复利用。
1.9 设定合适的编译程序选项
许多编译程序有几种不同的优化选项,在使用前应理解各优化选项的含义,然后选用最合适的一种优化方式。通常情况下一旦选用最高级优化,编译程序会近乎病态地追求代码优化,可能会影响程序的正确性,导致程序运行出错。因此应熟悉所使用的编译器,应知道哪些参数在优化时会受到影响,哪些参数不会受到影响。
二、代码的优化
2.1 选择合适的算法和数据结构
应熟悉算法语言。将比较慢的顺序查找法用较快的二分查找法或乱序查找法代替,插入排序或冒泡排序法用快速排序、合并排序或根排序代替,这样可以大大提高程序执行的效率。
选择一种合适的数据结构也很重要,比如在一堆随机存放的数据中使用了大量的插入和删除指令,比使用链表要快得多。数组与指针具有十分密切的关系,一般来说指针比较灵活简洁,而数组则比较直观,容易理解。对于大部分分的编译器,使用指针比使用数组生成的代码更短,执行效率更高。
但是在Keil 中则相反,使用数组比使用的指针生成的代码更短。
2.2 使用尽量小的数据类型
能够使用字符型(char)定义的变量,就不要使用整型(int)变量来定义;能够使用整型变量定义的变量就不要用长整型(long int),能不使用浮点型(float)变量就不要使用浮点型变量。当然,在定义变量后不要超过变量的作用范围,如果超过变量的范围赋值,C 编译器并不报错,但程序运行结果却错了,而且这样的错误很难发现。
2.3 使用自加、自减指令
通常使用自加、自减指令和复合赋值表达式(如a-=1 及a+=1 等)都能够生成高质量的程序代码,编译器通常都能够生成inc 和dec 之类的指令,而使用a=a+1 或a=a-1之类的指令,有很多C 编译器都会生成2~3个字节的指令。
2.4 减少运算的强度
可以使用运算量小但功能相同的表达式替换原来复杂的的表达式。如下:
(1)求余运算
a=a%8;可以改为:a=a&7;
说明:位操作只需一个指令周期即可完成,而大部分的C 编译器的“%”运算均是调用子程序来完成,代码长、执行速度慢。通常,只要求是求2n 方的余数,均可使用位操作的方法来代替。
(2)平方运算
a=pow(a,2.0);可以改为:a=a*a;
说明:在有内置硬件乘法器的单片机中(如51 系列),乘法运算比求平方运算快得多,因为浮点数的求平方是通过调用子程序来实现的,在自带硬件乘法器的AVR 单片机中,如ATMega163 中,乘法运算只需2 个时钟周期就可以完成。既使是在没有内置硬件乘法器的AVR单片机中,乘法运算的子程序比平方运算的子程序代码短,执行速度快。如果是求3 次方,如:a=pow(a,3.0);更改为:a=a*a*a;则效率的改善更明显。
(3)用移位实现乘除法运算
a=a*4;b=b/4;可以改为:a=a<<2;b=b>>2;
说明:通常如果需要乘以或除以2n,都可以用移位的方法代替。在ICCAVR 中,如果乘以2n,都可以生成左移的代码,而乘以其它的整数或除以任何数,均调用乘除法子程序。用移位的方法得到代码比调用乘除法子程序生成的代码效率高。实际上,只要是乘以或除以一个整数,均可以用移位的方法得到结果,如:a=a*9可以改为:a=(a<<3)+a
2.5 循环
(1)循环语
对于一些不需要循环变量参加运算的任务可以把它们放到循环外面,这里的任务包括表达式、函数的调用、指针运算、数组访问等,应该将没有必要执行多次的操作全部集合在一起,放到一个init 的初始化程序中进行。
(2)延时函数
通常使用的延时函数均采用自加的形式:
void delay (void){unsigned int i;for (i=0;i<1000;i++); }将其改为自减延时函数:void delay (void){unsigned int i;for (i=1000;i>0;i--); }
两个函数的延时效果相似,但几乎所有的C 编译对后一种函数生成的代码均比前一种代码少1~3 个字节,因为几乎所有的MCU 均有为0转移的指令,采用后一种方式能够生成这类指令。在使用while 循环时也一样,使用自减指令控制循环会比使用自加指令控制循环生成的代码更少1~3 个字母。
但是在循环中有通过循环变量“i”读写数组的指令时,使用预减循环时有可能使数组超界,要引起注意。
(3)while 循环和do…while 循环
用while 循环时有以下两种循环形式:
unsigned int i;i=0;while (i<1000){i++; //用户程序}或:unsigned int i;i=1000;do
{i--; //用户程序
}
while (i>0);
在这两种循环中,使用do…while循环编译后生成的代码的长度短于while循环。
2.6 查表
在程序中一般不进行非常复杂的运算,如浮点数的乘除及开方等,以及一些复杂的数学模型的插补运算,对这些即消耗时间又消费资源的运算,应尽量使用查表的方式,并且将数据表置于程序存储区。如果直接生成所需的表比较困难,也尽量在启动时先计算,然后在数据存储器中生成所需的表,后以在程序运行直接查表就可以了,减少了程序执行过程中重复计算的工作量。
2.7 其它
比如使用在线汇编及将字符串和一些常量保存在程序存储器中,均有利于优化。
声明: 本文转载自网络,如涉及作品内容、版权和其它问题,请于联系工作人员微,我们将在第一时间和您对接删除处理!
采用单片机测量市电电参数的关键算法、步骤、软件流程图
背景
我从事静电除尘电源控制器的研发已经有近十年的时间,
对市电电参数的测量积累了丰富的经验,
本文对此做一些总结。
A/D定时转换
单相静电除尘电源的电气信号的A/D采样通道为4个,
分别为初级电流、电压以及次级电流、电压。
MCU采用定时器触发A/D模块四个通道轮流转换,
在所有通道转换完成以后,触发A/D转换完成中断;
同时,自动同步采样4个通道的输入信号以准备下次转换。
取信号周期的整数倍为计算周期,
在计算周期内共采样信号N次,以ADij表示第i个通道的第 j次采样值。
不妨设0≤i≤3,其中第0个通道为初级电压,
第1个通道为初级电流,
第2个通道为次级电压,
第3个通道为次级电流。
第i个通道的直流偏置分量标定为整型变量ADOffi,
标定系数的分子为整型变量mi,分母为整型变量ni。
电参数算法
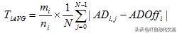
第i个通道的信号平均值TiAVG为
公式1
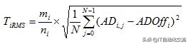
第i个通道的信号真有效值TiRMS为
公式2
初级的有功功率P1为:
公式3
次级的有功功率P2为:
公式4
初级的视在功率S为:
公式5
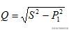
初级的无功功率Q为:
公式6
初级的功率因数Pf为
公式7
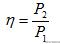
变压器效率η为:
公式8
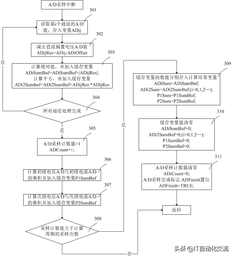
A/D采样中断服和程序流程图
图3
图3为A/D采样中断服务程序。
在步骤301至步骤302,依次取出各个通道的采样结果,
减去相应的直流偏置分量并存入缓存变量。
在步骤303,计算上述步骤所得结果的绝对值以及平方和,加入相应的缓存变量。
如果在步骤304判断所有通道处理完毕,则跳转至下一步骤;
否则返回步骤301,处理下一通道A/D采样结果。
在步骤305将采样计算值递增之后,程序进一步在步骤306、307计算初、次级的功率并加入相应的缓存变量。
在步骤308,判断采样计数是否大于计算周期的采样次数,
如果是,则跳转至下一步骤,否则,从中断服务程序返回。
在步骤309,缓存变量的数值被赋给结果变量。
在步骤310、311,清空缓存变量以及采样计数器,以便进入下一个计算周期;
同时将采样完成标志置位。
真有效值计算流程图
图4为真有效值计算流程图。单片机在其主程序中根据A/D采样结果计算各参数的真有效值。
在步骤401判断采样完成标志是否被置位。
如果否,继续等待信号采样。
否则,程序跳转至步骤402判断是否选择真有效值测量方式。
如果选择真有效值测量方式,则在步骤403将平方和变量除以采样次数N并开方,
否则,在步骤404将绝对值之和变量除以采样次数N。
在步骤405,根据标定系数从上述步骤的结果转换得到平均值测量值TiAVG或者真有效值测量值TiRMS。
步骤407,根据标定系数转换得到初、次级有功功率测量值P1以及P2。
步骤408,根据公式5-公式9,分别计算初级的视在功率、无功功率、功率因数,变压器效率。
图4
故障判断
图5
在得到信号测量值之后,单片机将进行过流、电压、过温、变压器偏励磁、火花闪络等故障判断。根据故障以及运行状况,调整可控硅的导通角。
图5是火花闪络处理流程图。
定义长度为参训样本总数量M的二维数组Buff用于缓存参训样本,
变量uchP用于记录当前参训样本的指针,变量SumX用于记录所有参训样本的导通角之和,
变量SumY用于记录所有参训样本的次极电压之和,
变量SumX2用于记录参训样本的导通角的平方和,
变量SumXY用于记录参训样本的次极电压与导通角的乘积之和。
在步骤501, 程序判断新的计算周期的信号采样、计算是否完成。
如果完成,则进行火花闪络的判断、处理;
否则,跳转至下一步。
在步骤502,判断已参训样本数量是否大于参训样本总数M。
如果小于,程序跳转至步骤506;
如果大于等于,则在步骤503用最小二乘法公式, 计算导通角A与次极电压V2的线性关系系数 K1、K2,如下:
在步骤504,根据公式V2=K1*A+K2,
计算出次极电压的理论值,再与实际测量值进行比较。
如果理论值低于实际测量值且其差值超过火花闪络的判断阈值,
则在步骤504认为发生火花闪络,进行相应故障处理。
否则,在步骤505从参训样本中删除最老样本,
即从SumX、SumY、SumX2、SumXY变量中分别减去最老样本的相应计算值,
并跳转至步骤506。
在步骤506,将当前的测量值(Ai,V2i)加入线性系数 K1、K2的训练学习,
即从SumX、SumY、SumX2、SumXY变量中分别加上(Ai,V2i)的相应计算值;
同时在步骤507将(Ai,V2i)存入参训样本缓存。
在步骤508、509中,将参训样本缓存指针前移。
相关问答
十四位数仿真科学计算器括符如何输入[编辑本段]名词定义英文拼写:calculator;counter计算器,一般是指“电子计算器”,所以,可以认为是“电子计算器”的简称,该名词由日文传入中国...
请问计算器的十位和十二位用法上会有什么区别?计算器的位数就是最多可以显示多少个数字。8位计算器最多显示8位,12位计算器最多显示12位。假如计算器是10位显示的。可以先计算2的开方,按2键和开方键,显示的...
